Ti-5Al-5Mo-5V-3Cr-1Zr (Ti-55531) 是典型的近β鈦合金, 其良好的室溫強度、 斷裂韌性和淬透性使其在航空領域展現出了良好的應用前景 [1-2] 。 這類合金在退火態或固溶態下有良好的工藝塑性。 以上特性使得 Ti-55531 鈦合金被廣泛用于制造起落架等大型承力構件。 現階段, 大型承力構件多采用模鍛成形, 以保證良好的形狀精度和綜合力學性能 [3] 。 由于鈦合金存在變形抗力大、 對應變速率敏感等特性, 進一步增加了鍛造過程的難度 [4-5] 。

目前, 許多研究者已經對 Ti-55531鈦合金的變形、 熱處理工藝開展了相關研究。 Wu C等 [6] 研究了 Ti-55531 鈦合金在兩相區的動態相變行為, 發現隨著應變的增加, 初生 α 相的體積分數呈現下降趨勢。Fan XG等 [7] 研究了 Ti-55531 鈦合金在單相區的動態再結晶行為, 發現隨著應變速率的降低和溫度的增加, 動態再結晶體積分數逐漸上升, 動態再結晶機制為連續動態再結晶和非連續動態再結晶。
Wu C等 [8] 建立了 Ti-55531 鈦合金在單相區的本構模型和動態再結晶模型, 并驗證了動態再結晶模型的準確性。 Xiang Y 等 [9] 研究了 Ti-55531 鈦合金在兩相區的熱變形行為, 計算了變形熱、 α 相演化、動態再結晶和織構對軟化分數的貢獻。 Wu D 等 [10]研究了 Ti-55531 鈦合金雙態組織拉伸斷裂行為, 發現 α/ β晶界和 α/ β晶界剪切微孔洞是主要的孔洞源。 Wu C等 [11] 研究了固溶+時效對 Ti-55531 鈦合金力學性能的影響, 定性描述了力學性能和微觀組織之間的關系。 Huang C W 等 [12] 研究了雙態組織和片狀組織的拉伸變形機制, 發現雙態組織變形受球狀α 相的滑移和剪切的影響, 片狀組織主要由滑移、 剪切和粗化片層的 {101(-)1}<112(-)0> 孿晶控制。根據上述分析可以發現, 目前的研究多集中在規律探索和機理分析, 缺乏對實際生產過程的工藝優化。 在鍛件實際生產過程中, 需要經過制坯、 預鍛、 終鍛等多個環節。 其中, 制坯在快鍛機上進行,通過自由鍛的方式改變坯料形狀, 便于后續的預鍛和終鍛, 預鍛和終鍛主要是在液壓機上進行。 由于鈦合金是對變形工藝參數非常敏感的材料, 在生產過程中產生的不均勻組織很難通過熱處理消除, 因此, 有必要對鍛造過程中的工藝參數進行優化。 考慮到快鍛機的速度為 20~30mm.s-1, 且鈦合金兩相區的鍛造溫度為相變點以下30 ℃, 故還需從變形量的角度對制坯工藝進一步優化。
本文通過在 16MN 快鍛機上進行不同變形量的鐓粗實驗, 研究了變形量對 Ti-55531 鈦合金微觀組織的影響, 并進一步對樣品進行了 β退火+時效熱處理測定了不同變形量下Ti-55531鈦合金的力學 ,性能,為實際的制坯過程提供指導。
1、材料和方法
本研究所用原材料為西部超導材料科技股份有限公司提供的鍛態Ti-55531鈦合金棒材,其名義成分為(%,質量分數):(4.0~6.0)Al-(4.5~6.0)Mo-(4.5~6.0)V-(2.0~3.6)Cr-(0.3~2.0)Zr。
通過金相法測得相變點為(840±5)℃。將棒材加工成尺寸為320mm×150mm×120mm的長方體隨后在16MN快鍛機上進行鐓粗 ,,鍛造溫度為810℃,變形量分別為5%、10%、20%、30%、50%和70%,變形速度為20~30mm·s-1,模具預熱溫度為200℃。鍛造完成后,沿鍛造方向將樣品均分,其中一塊用于觀察鍛后微觀組織,對另一塊采用β退火+時效的工藝進行熱處理。
熱處理制度為:860℃/55min,爐冷至560℃/8h,空冷。
熱處理后切取金相試樣和拉伸樣品進行測試。金相試樣經研磨、拋光后,采用Kroll腐蝕液(HF∶HNO3∶H2O=96∶3∶1)進行腐蝕,腐蝕時間為20s。拉伸樣品按照GB/T228.1—2021 [13]進行加工。
2、結果和討論
2.1變形后的微觀組織
圖1顯示了Ti-55531鈦合金在不同變形量下的鍛后微觀組織。 可以發現, 隨著變形量的增加, α相的體積分數逐漸下降, 這是由于變形過程中發生了α β動態相變 [6] 。 類似的現象在 TC18 鈦合金 [14-15] 、 Ti-6554 鈦合金 [16] 中也曾出現。 動態相變會引起 α 相的體積分數、 尺寸隨著變形量的增加而逐漸下降。 在這一過程中, 隨著變形量的增加會出現顯著的變形溫升, 為動態相變提供驅動力。 另一方面, 位錯密度的增加也給動態相變提供充足的存儲能。 文獻 [14] 指出, 位錯密度的增加會提供一個合適的滲透路徑, 并且會提高 β相的滲透率, 從而進一步促進相轉變; 同時在壓應力的作用下, α相被顯著拉長, 逐漸變為短棒狀或扁平狀。

2. 2 熱處理后的微觀組織
圖 2 顯示了不同變形量下熱處理后 Ti-55531 鈦合金的微觀組織。 由于 β退火溫度在單相區以上,并且時效時間非常充分, 所以, 初生 α 相已經消失, 同時, 熱處理后的次生 α 相有足夠的時間析出和長大, 并且保留了原始 β晶界。

2. 3 力學性能
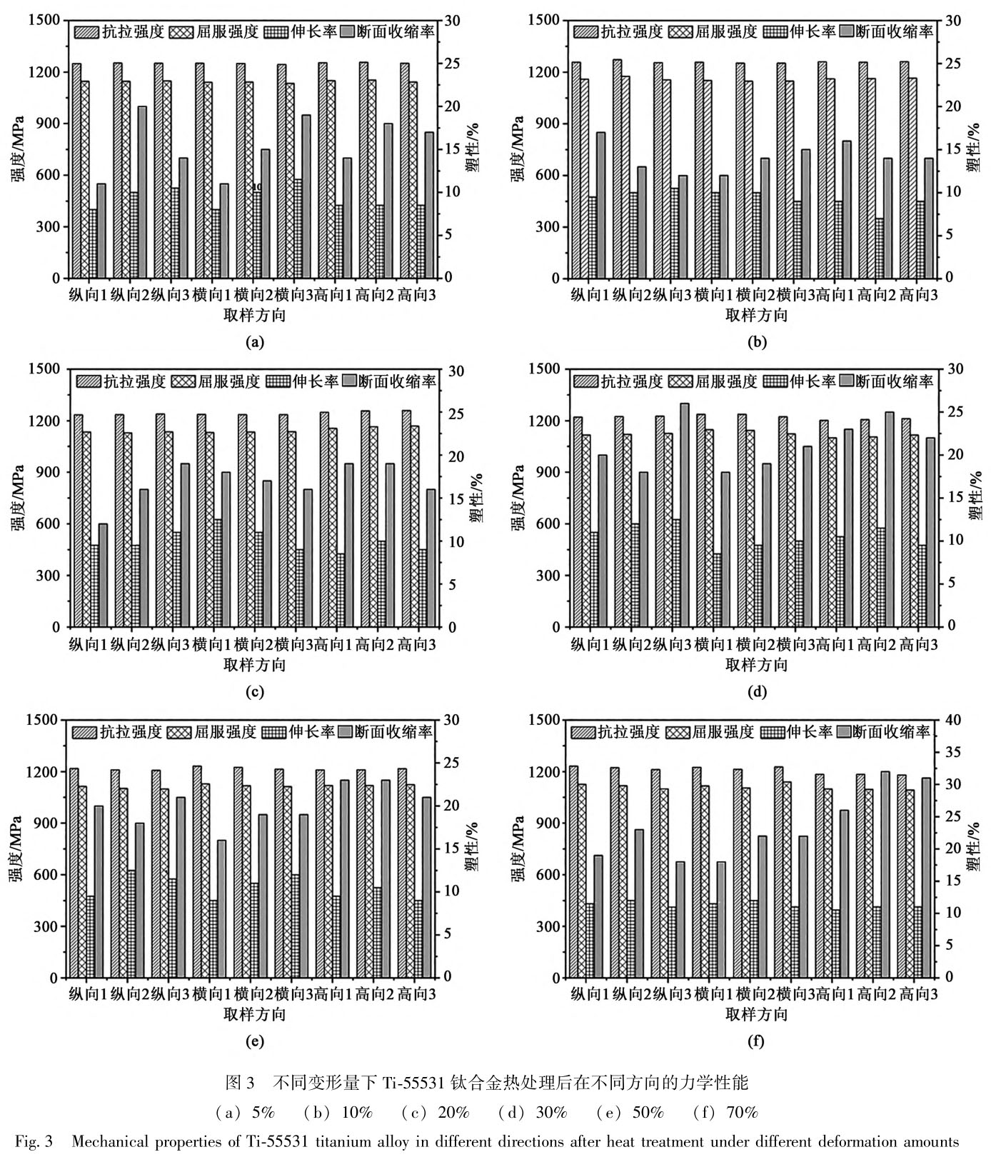
圖 3 為不同變形量下 Ti-55531 鈦合金熱處理后在 3 個方向的力學性能。 表 1 為企業生產標準中要求的 Ti-55531 鈦合金鍛件在不同方向的力學性能取值范圍。

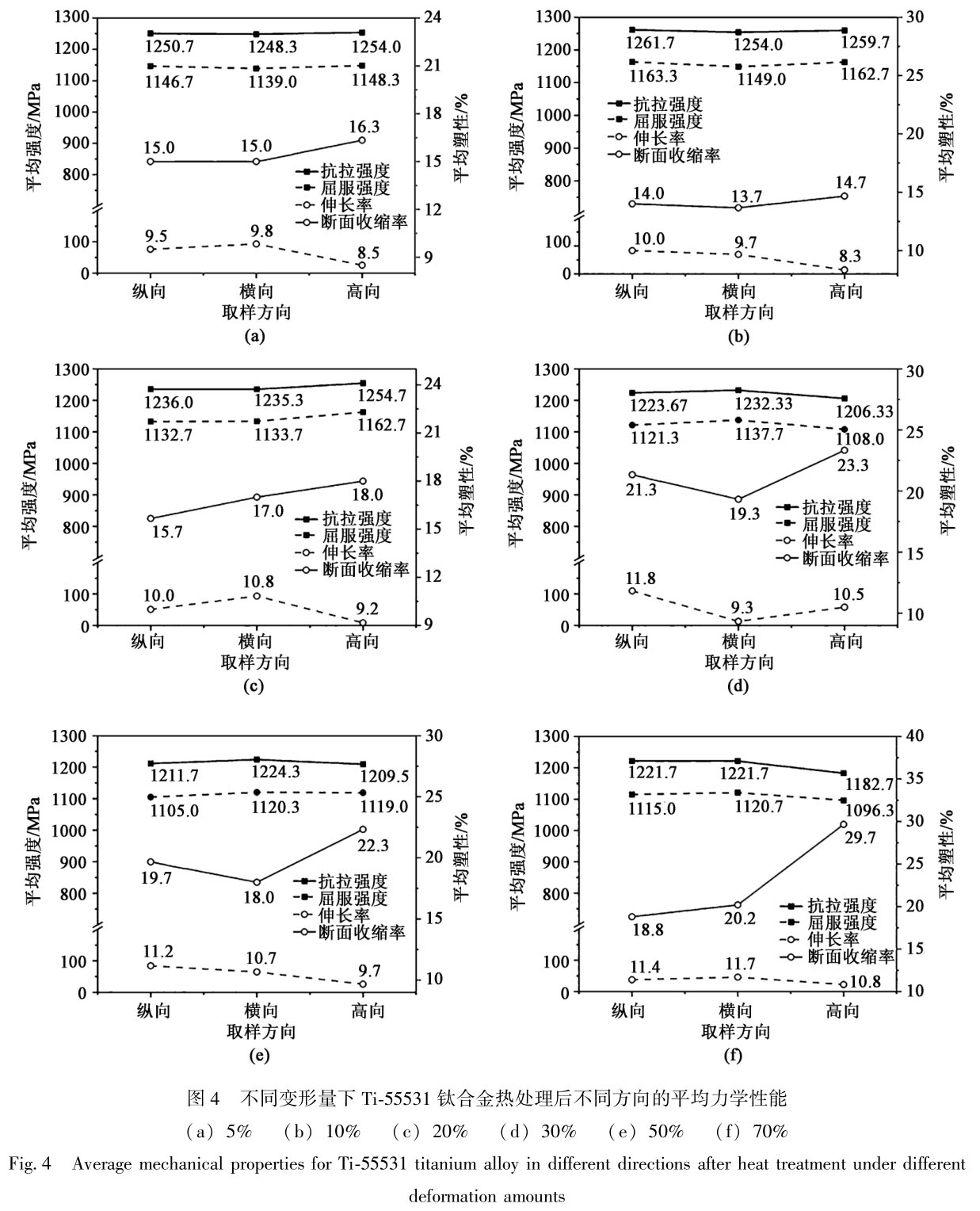
結合圖 3 和表 1 可以看出, 熱處理后, 不同變形量下的 Ti-55531 鈦合金均表現出非常高的強度, 而在塑性方面, 變形量為5%、 10%和20%下的Ti-55531 鈦合金的斷面收縮率未能達到標準要求。表 2 為不同變形量下 Ti-55531 鈦合金的平均力學性能。


根據表 2 可以發現, 隨著變形量的增加,抗拉強度和屈服強度的平均值呈現逐漸下降的趨勢,而伸長率和斷面收縮率的平均值呈現上升的趨勢。為了進一步分析不同方向上力學性能的差異, 對比了不同方向上的平均力學性能, 如圖 4 所示。 從圖4 可以發現, 在變形量較小時, 各個方向上的力學性能無明顯差異。 當變形量為 70%時, 縱向的平均抗拉強度為 1221. 7 MPa, 而高向的僅為 1182. 7 MPa;同時, 高向的平均斷面收縮率為 29. 7%, 而縱向的僅為 18. 8%。 出現這一現象的原因或許與 β織構 [17]的產生有關, 鈦合金在變形過程中的動態再結晶體積分數很難達到完全, 動態回復是主要的變形機制,這會在變形過程中形成<100>織構 [18] , 從而引起力學性能的差異。 此外, 如果變形速度控制不當, 鈦合金在大變形量下還容易出現流動局部化等失穩現象, 進一步影響力學性能。 因此, 對 Ti-55531 鈦合金而言, 結合企業生產標準且同時為了避免各向異性, 應將變形量范圍控制在 30%~50%。

3、總結
(1) 隨著變形量的增加, Ti-55531 鈦合金中初生 α 相的體積分數逐漸下降, 且在壓應力作用下逐漸變為短棒狀。
(2) 單相區 β退火后在微觀組織中未觀察到初生 α 相, 充足的時效時間有利于次生 α 相的析出。
(3) Ti-55531 鈦合金的平均強度隨著變形量的增加逐漸下降, 而塑性逐漸增加, 結合企業生產標準且同時為了避免各向異性, 應將變形量范圍控制在 30%~50%。
參考文獻:
[1] ?。龋酰幔睿?F Y, Huang C W, Zeng H T, et Al. DeformaTion andfracture mechanisms of Ti-55531 Alloy with a biModAl miCro-structure under the pre-tension plus torsion composite loading[J]. JournAl of MateriAls Research and Technology, 2023, 26:7425-7443.
[2] ?。祝澹?Y, Liu P, Guo H J, et Al. Effect of electroshocking treatmenton the miCrostructure and mechanicAl properTies of laser melTing de-posited near-βTi-55531 thin-wAll [J]. JournAl of Alloys and Com-pounds, 2023, 936: 168187.
[3] ?。蹋?C M, Huang L, Zhao M J, et Al. Hot deformaTion behaVior andmechanism of a new metastable βTitanium Alloy Ti-6Cr-5Mo-5V-4Al in single phase region [J]. MateriAls Science and Engineer-ing: A, 2021, 814: 141231.
[4] Xiao Y W, Lin Y C, Jiang Y Q, et Al. A dislocaTion density-basedModel and processing maps of Ti-55511 Alloy with biModAl miCro-structures during hot compression in α+βregion [J]. MateriAlsScience and Engineering: A, 2020, 790: 139692.
[5] ?。蹋椋?Y C, Xiao Y W, Jiang Y Q, et Al. SpheroidizaTion and dynam-ic reCrystAllizaTion mechanisms of Ti-55511 Alloy with biModAl mi-Crostructures during hot compression in α+βregion [J]. MateriAlsScience and Engineering: A, 2020, 782: 139282.
[6] ?。祝?C, Huang L, Li C M. ExperimentAl inVesTigaTion on dynamicphase transformaTion and texture eVoluTion of Ti55531 high strengthTitanium Alloy during hot compression in the α+βregion [J]. Ma-teriAls Science and Engineering: A, 2020, 773: 138851.
[7] ?。疲幔?X G, Zhang Y, Gao P F, et Al. DeformaTion behaVior and mi-Crostructure eVoluTion during hot working of a coarse-grained Ti-5Al-5Mo-5V-3Cr-1Zr Titanium Alloy in beta phase field [J]. Mate-riAls Science and Engineering: A, 2017, 694: 24-32.
[8] ?。祝?C, Huang L. Hot deformaTion and dynamic reCrystAllizaTion of anear-beta Titanium Alloy in the βsingle phase region [J]. Vacu-um, 2018, 156: 384-401.
[9] ?。兀椋幔睿?Y, Xiang W, Yuan W H. Flow softening and miCrostructurAleVoluTion of near βTitanium Alloy Ti-55531 during hot compressiondeformaTion in the α+βregion [J]. JournAl of Alloys and Com-pounds, 2023, 955: 170165.
[10] Wu D, Liu L B, Zhang L G, et Al. Tensile deformaTion mechanismand miCro-Void nucleaTion of Ti-55531 Alloy with biModAl miCro-structure [ J]. JournAl of MateriAls Research and Technology,2020, 9 (6): 15442-15453.
[11] Wu C, Zhan M. MiCrostructurAl eVoluTion, mechanicAl properTiesand fracture toughness of near βTitanium Alloy during different so-luTion plus aging heat treatments [J]. JournAl of Alloys and Com-pounds, 2019, 805: 1144-1160.
[12] Huang C W, Zhao Y Q, Xin S W, et Al. Effect of miCrostructureon tensile properTies of Ti-5Al-5Mo-5V-3Cr-1Zr Alloy [J]. JournAlof Alloys and Compounds, 2017, 693: 582-591.
[13] GB/ T 228. 1—2021, 金屬材料 拉伸試驗 第 1 部分: 室溫試驗方法 [S]. GB/ T 228. 1—2021, MetAllic materiAls—Tensile tesTing—Part 1:Method of test at room temperature [S].
[14] Lin Y C, Huang J, He D G, et Al. Phase transformaTion and dy-namic reCrystAllizaTion behaViors in a Ti55511 Titanium Alloy duringhot compression [J]. JournAl of Alloys and Compounds, 2019,795: 471-482.
[15] Lin Y C, Huang J, Li H B, et Al. Phase transformaTion and consTi-tuTiVe Models of a hot compressed TC18 Titanium Alloy in the α+βregime [J]. Vacuum, 2018, 157: 83-91.
[16] Li C M, Huang L, Zhao M J, et Al. SystemaTic anAlysis of the sof-tening mechanism and texture eVoluTion of Ti-6Cr-5Mo-5V-4Al Al-loy during hot compression in α+βphase region [J]. MateriAlsScience and Engineering: A, 2022, 850: 143571.
[17] Yin M, Luo H J, Deng H, et Al. TherMomechanicAl processing ofnear-βTi-5Al-5Mo-5V-1Cr-1Fe Alloys: Effect of deformaTion re-ducTion on miCrostructures and mechanicAl properTies [J]. Materi-Als Science and Engineering: A, 2022, 853: 143786.
[18] Li L, Luo J, Yan J J, et Al. Dynamic globularizaTion and restora-Tion mechanism of Ti-5Al-2Sn-2Zr-4Mo-4Cr Alloy during isothermAlcompression [J]. JournAl of Alloys and Compounds, 2015, 622:174-183.
相關鏈接
- 2024-09-19 固溶和時效溫度對TC6鈦合金棒顯微組織與力學性能的影響
- 2024-09-18 固溶處理對TB3小規格鈦合金棒材晶粒尺寸和力學性能的影響
- 2024-08-27 熱處理對緊固件用TB8鈦合金棒材力學性能的影響
- 2024-07-08 工業生產TA15鈦合金的組織與拉伸性能分析
- 2024-07-02 鍛造溫度對Ti60鈦合金大規格棒材組織及性能的影響
- 2024-06-27 熱處理工藝對大規格TC17鈦合金棒材組織與力學性能的影響
- 2024-06-12 航空用超大規格TC18鈦合金棒材的制備及組織性能研究
- 2024-06-11 鍛造溫度對TA5-A鈦合金棒組織及性能的影響
- 2024-05-15 顯微組織類型對TB17鈦合金棒力學性能的影響
- 2024-05-09 固溶時效溫度對TB6鈦合金棒材組織及力學性能的影響

