鈦及鈦合金具有十分優異的性能,例如良好的蠕變性能、斷裂韌度、耐高溫性以及優異的抗沖蝕性等,在航空工業、高溫發動機葉片、醫療器械等領域中廣泛使用[1-2]。Ti-55511鈦合金是一種富β穩定元素的α+β型兩相鈦合金,由于該合金具有高強高韌、焊接性能良好以及淬透性優異等特性,在飛機的起落架、底盤、發動機葉片等結構件中得到廣泛應用[3]。

目前,關于Ti-55511鈦合金熱處理工藝的研究較多。牟芃威等[4]對Ti-55511鈦合金進行了固溶時效處理,發現合金經固溶時效處理后的力學性能得到明顯提升,并且固溶會使組織中形成過飽和固溶體,再經時效處理后,組織中會析出次生α相。辛宏靖等[5]也研究了固溶時效對Ti-55511鈦合金組織與力學性能的影響,發現固溶會使組織中發生元素再分配,并發現固溶溫度會影響組織中初生α相的比例,且會影響時效時析出次生α相的含量,從而影響合金強度。張穎等[6]對Ti-55511鈦合金進行了雙重退火處理,發現合金經雙重退火處理后,組織為典型的魏氏組織,且試樣強度降低,塑性提高。
綜上所述,雖然目前較多學者對Ti-55511鈦合金的熱處理工藝進行了大量研究,但主要均是以普通的固溶時效以及退火工藝為主,未進行新的熱處理工藝研究。而BASCA(β退火+緩慢冷卻+時效)工藝是一種新提出的熱處理工藝,目前僅應用于少量的近β鈦合金中。隨著近年來Ti-55511鈦合金的應用不斷增加,尤其是在航天航空領域,故本文將BASCA熱處理工藝應用于Ti-55511鈦合金中,分析該工藝對Ti-55511鈦合金微觀組織以及力學性能的影響,為Ti-55511鈦合金的熱處理工藝研究提供參考。
1、試驗材料與方法
試驗材料為經多火次鍛造而成的Ti-55511鈦合金棒材,棒材終鍛規格為φ245mm,采用ICP發射光譜儀測試棒材的元素含量,具體結果如表1所示。依據GB/T23605—2020《鈦合金β轉變溫度測定方法》測試棒材β轉變溫度,測得的β轉變溫度為890~895℃。


Ti-55511鈦合金棒材的原始微觀組織如圖1所示,該組織主要由β轉變組織和α相構成,并有α晶界存在,其中α相尺寸長短不一,α相以大量細小條狀為主且平行或交錯均勻分布在基體上。
將棒材切割加工,隨后對棒材進行BASCA工藝熱處理,本文將BASCA工藝細分為BASC工藝與BASCA工藝,區別為是否進行A階段(即時效處理),具體熱處理方案如表2所示。熱處理后,對合金進行微觀組織觀察,同時測試拉伸性能。其中拉伸性能測試取樣方向為L向(棒材縱向),利用INSTRON電子萬能試驗機,依據GB/T228.1—2021《金屬材料拉伸試驗第1部分:室溫試驗方法》進行拉伸試驗,每組3個平行試樣,最后取3個結果的平均值。合金的相組成使用EmpyreanX射線衍射儀(XRD)進行分析,Cu靶材,電流為40mA,電壓為40kV,掃描速度為10°/min,掃描角度范圍為30°~80°。在OLYMPUS光學顯微鏡下觀察顯微組織,斷口形貌以及高倍微觀組織采用SUPRA55型掃描電鏡(SEM)進行觀察,使用配比為HF∶HNO3∶乳酸=1∶3∶5(體積比)的腐蝕劑進行腐蝕。
2、試驗結果與討論
2.1微觀組織
圖2為合金經BASC工藝處理后的微觀組織,與棒材原始微觀組織相比,經BASC工藝處理后,組織中α相形貌、分布情況以及尺寸均有所改變。組織中的α相尺寸相比原始組織中的α相有一定程度的增加,α相形貌包括大量條狀、少量等軸狀以及個別塊狀。

同時發現組織中β轉變組織不明顯,α相均勻分布在β基體上。隨著BA溫度的升高,組織中α相數量以及尺寸有減小現象,這是因為溫度升高會使組織中α相發生轉變,即發生α→β轉變,在升溫的過程中,組織中α相發生溶解的順序與原始組織中α相發生析出的順序相反,首先是尺寸較小較薄的α相發生溶解,隨后是尺寸較大較厚的α相發生溶解,最后導致α相含量以及尺寸減小[7]。
圖3為合金經BASCA工藝處理后的微觀組織,相比于圖2,發現此時組織中β轉變組織明顯,組織變得更加均勻穩定。β轉變組織變得明顯,說明合金經BASCA工藝中的時效處理后(A階段),組織中的亞穩定β相發生分解,析出更多次生α相以及穩定的低溫β相。結合圖2、圖3可知,BA溫度可影響組織中α相尺寸,也可影響組織中α相形貌。當BA溫度較低時,低溫導致原子擴散能力下降,在SC階段的冷卻過程中,組織中形成的亞穩定β相含量較少,導致在A階段析出次生α相能力減弱。當BA溫度升高,SC階段形成的亞穩定β相含量增加,導致A階段析出的次生α相含量增加,組織中次生α相的彌散度增大,組織更加穩定。

2.2物相分析
圖4(a)為合金經BASC工藝處理后的XRD圖譜。合金在加熱過程中會發生α→β相轉變,在加熱結束后的冷卻過程中,組織會產生β→α相轉變。研究表明[8-9],在冷卻過程中,β相會進行β→α'、β→α″以及β→α3種類型的轉變,α'相與α″相主要是以切變方式進行轉變,α相主要是以擴散方式進行轉變。

而過冷度的大小是決定發生何種轉變方式的主要因素,當組織中產生較大過冷度時,β相會以切變轉變的形式轉變為α'相或α″相,當組織中產生較小過冷度時,β相會通過擴散轉變形成α相。在BASC工藝中,合金首先隨爐冷卻至750℃,此過程為緩慢的爐冷,產生十分小的過冷度,隨后再進行空冷,因為該階段進行冷卻的溫度較低,且冷卻方式為空冷,其產生的過冷度較小,故組織中形成α相。也有文獻指出[9],通常情況下,水冷產生的過冷度是組織中發生切變轉變的必備條件,故經BASC工藝處理后,合金的衍射峰主要由α相與β相構成。
圖4(b)為合金經BASCA工藝處理后的XRD圖譜,因為合金在該工藝中會進行一次時效處理,該過程會使組織中的亞穩定β相發生分解,最終形成穩定的α相與β相。同時發現,當BA溫度發生變化時,XRD圖譜中α相與β相的衍射峰強度有所改變,這是由于不同的BA溫度會使β轉變組織中元素含量發生改變。在BA溫度升高的過程中,β轉變組織中的β類穩定元素Mo、V的含量會有所降低,二者會影響晶格常數或占據特定的晶位,其含量的變化會影響到晶格或晶位的狀態,從而影響衍射峰強度。
此外,BA溫度升高還會使得α類穩定元素Al的含量增加,其會導致α相的晶體結構發生變化,比如晶格常數、晶胞體積等,這些變化也會直接影響到α相的衍射峰強度。即改變BA溫度會使得β轉變組織中的元素發生再分配現象,進而導致衍射峰的強度發生變化[10-11]。
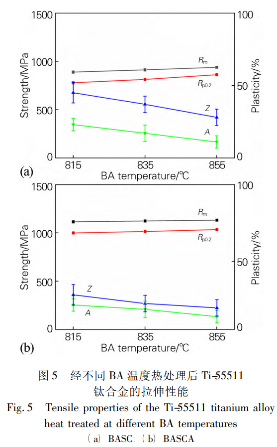
2.3拉伸性能
圖5為合金經BASC與BASCA工藝處理后Ti55511鈦合金的室溫拉伸性能,由圖5可知,合金經BASC工藝處理后,強度隨著BA溫度的升高而升高,而塑性呈現相反趨勢。合金經BASCA工藝處理后,其拉伸性能變化趨勢與BASC工藝處理后一致。經比較,合金經BASCA工藝處理后,強度更高,但塑性略差。經BASCA工藝處理后,當BA溫度為855℃時,合金強度最大,其最大抗拉強度(Rm)為1131MPa,最大屈服強度(Rp0.2)為1034MPa。經BASC工藝處理后,當BA溫度為815℃時合金塑性最佳,其斷后伸長率(A)為23%,斷面收縮率(Z)為45%。

當合金經BASC工藝處理后,BA溫度較低時,組織中初生α相含量較多,這會減小組織滑移帶之間距離,大量初生α相會使組織內部位錯線更加細密和均勻,減小在晶界處產生的位錯塞積,延遲拉伸過程中孔洞的形核與生長,拉伸試樣在斷裂前會有較大的形變,提升合金塑性[12]。同時,合金的組織中存在較多等軸狀以及條狀的初生α相,二者與β基體之間不存在固定位向關系,在塑性變形時,位錯形成后會遇到較容易開動的滑移面,對塑性變形產生協調作用,使得合金塑性較高[13]。隨著BA溫度升高,組織中初生α相含量降低,且析出次生α相含量增加,由于組織中初生α
相對合金的塑性有較大的影響,其含量越多塑性越好,故初生α相含量降低導致合金塑性降低。同時組織中析出較多次生α相,加大其互相交織的緊密程度,增強彌散強化效果,增加位錯運動的障礙,故合金強度增加[14-15]。
當合金經BASCA工藝處理后,時效過程會使亞穩定β相分解,形成大量彌散均勻的次生α相,增加組織中α相與β相的相界面,增加位錯運動過程中的阻礙,且隨著BA溫度的不斷升高,組織中亞穩定β相的數量增加,從而使得在時效過程中析出更多次生α相,導致合金強度更高[16]。
2.4拉伸斷口微觀形貌
圖6為合金經BASC工藝處理后拉伸試樣斷口微觀形貌,發現其斷口形貌主要以韌窩為主,韌窩尺寸較大且深。韌窩是判斷塑性大小的主要因素之一,韌窩一般存在于塑性好的材料內,且具有吸收較高能量的作用,韌窩尺寸與深淺一定程度上會體現該合金受到應力的狀態以及延展性[17-18]。故當斷口形貌中韌窩尺寸越大且深度越深時,合金的塑性越好。同時發現,隨著BA溫度的升高,斷口中除韌窩外,其撕裂棱形貌越加明顯,意味著合金強度不斷升高。

圖7為合金經BASCA工藝處理后的拉伸斷口微觀形貌,發現斷口中除韌窩外還存在較多的二次裂紋,二次裂紋通常是拉伸試樣在纖維區發生斷裂時形成的[19]。此外,合金經時效處理后,其組織中存在大量針狀次生α相,當裂紋在擴展過程中遇到次生α相時,會產生裂紋分枝現象,導致組織中有二次裂紋形成,二次裂紋的形成需要更多的能量,二次裂紋還對裂紋擴展起到一定抑制作用[20],使得合金的強度較高,故經BASCA工藝處理后合金的強度較高,與圖5結果相一致。組織中的大量次生α相還會使經BASCA工藝處理后的合金斷口形貌有明顯的高低起伏,這是由于在發生斷裂的過程中,次生α相會增加裂紋擴展路徑的曲折性,因此斷口微觀形貌呈現出高低起伏的崎嶇形貌。
3、結論
1)Ti-55511鈦合金棒經BASC(β退火+緩慢冷卻)工藝處理后,組織中的α相尺寸相比合金原始組織中的α相有一定程度的增加,組織中α相形貌包括大量條狀、少量等軸狀以及個別塊狀。經BASCA(β退火+緩慢冷卻+時效)工藝處理后,合金中β轉變組織明顯,組織變得更加均勻穩定。BA(β退火)溫度可影響組織中α相尺寸及形貌。
2)在BASC與BASCA工藝中,合金強度均隨BA溫度的升高而升高,而塑性則呈相反趨勢。經BASCA工藝處理后,當BA溫度為855℃時,合金強度最大,其最大抗拉強度(Rm)為1131MPa,最大屈服強度(Rp0.2)為1034MPa。經BASC工藝處理后,當BA溫度為815℃時合金塑性最佳,其斷后伸長率(A)為23%,斷面收縮率(Z)為45%。
3)合金經BASC工藝處理后的斷口形貌主要以韌窩為主,韌窩形貌較大且深,隨BA溫度升高,斷口中撕裂棱形貌越加明顯。經BASCA工藝處理后,合金斷口微觀形貌中除韌窩外還存在二次裂紋,且斷口呈現出高低起伏的崎嶇形貌。
參考文獻:
[1]肖 寒,于佳新,張宏宇,等. 退火溫度對新型高強耐蝕鈦合金組 織與性 能 的 影 響[J]. 稀 有 金 屬 材 料 與 工 程,2022,51 ( 3 ) :
947-952. Xiao Han,Yu Jiaxin,Zhang Hongyu,et al. Effects of annealing temperature on microstructure and properties of new high strength corrosion resistant titanium alloy [J]. Rare Metal Materials and Engineering,2022,51( 3) : 947-952.
[2]李志尚,陳立全,楊 平,等. TC18 鈦合金棒材鍛造時拔長過程 織構模擬[J]. 塑性工程學報,2021,28( 9) : 94-102.
Li Zhishang,Chen Liquan,Yang Ping,et al. Simulation of texture in drawing of TC18 titanium alloy bars during forging[J]. Journal of Plasticity Engineering,2021,28( 9) : 94-102.
[3] Cui Yimin,Zheng Weiwei,Hua Chao,et al. Effectiveness of hot deformation and subsequent annealing for β grain refinement of Ti-5Al5Mo-5V-1Cr-1Fe titanium alloy[J]. Rare Metals,2021,40 ( 12 ) :3608-3615.
[4]牟芃威,呂書鋒,杜趙新. 固溶和時效溫度對鑄態 TC18 合金組織 性能的影響[J]. 鋼鐵釩鈦,2023,44( 2) : 61-66.
Mou Pengwei,Lü Shufeng,Du Zhaoxin. Effects of solution and aging temperature on microstructure and properties of as-cast TC18 alloy[J]. Iron Steel Vanadium Titanium,2023,44( 2) : 61-66.
[5]辛宏靖,廖敏茜,王瀟漢,等. 初生 α 相含量對 TC18 時效組織及 力學性能的影響[J]. 精密成形工程,2021,13( 3) : 143-147.
Xin Hongjing,Liao Minxi,Wang Xiaohan,et al. Effect of volume fraction of primary α phase on mechanical property in TC18 alloy[J]. Journal of Netshape Forming Engineering,2021,13( 3) : 143-147.
[6]張 穎,胡生雙,鄭 超,等. 雙重退火對激光增材制造 TC18 鈦 合金組織和性能的影響[J]. 特種鑄造及有色合金,2021,41( 8) :
1006-1009. Zhang Ying,Hu Shengshuang,Zheng Chao,et al. Effects of double annealing on microstructure and properties of TC18 titanium alloy by laser additive manufacturing [J]. Special Casting and Nonferrous Alloys,2021,41( 8) : 1006-1009.
[7]張 翥,王群驕,莫 畏. 鈦的金屬學和熱處理[M]. 北京: 冶金 工業出版社,2009: 46-220.
[8]辛社偉,趙永慶. 鈦合金固態相變的歸納與討論( Ⅵ) —阿爾法 [J]. 鈦工業進展,2013,30( 4) : 1-8.
Xin Shewei,Zhao Yongqing. Inductions and discussions of solid state phase transformation of titanium alloy ( Ⅵ ) -Alpha[J]. Titanium Industry Progress,2013,30( 4) : 1-8.
[9]辛社偉. 鈦合金固態相變的歸納與討論( Ⅴ) —相與相變談[J]. 鈦 工業進展,2013,30( 3) : 12-15.
Xin Shewei. Inductions and discussions of solid state phase transformation of titanium alloy ( Ⅴ) -Talking about phase and phasetransformation[J]. Titanium Industry Progress,2013,30( 3) : 12-15.
[10]王 琛,徐 棟,陳 力. 熱處理對 TC18 鈦合金組織和力學性能 的影響[J]. 金屬熱處理,2018,43( 9) : 186-190.
Wang Chen, Xu Dong, Chen Li. Effect of heat treatment on microstructure and mechanical properties of TC18 titanium alloy[J]. Heat Treatment of Metals,2018,43( 9) : 186-190.
[11]Xu Jianwei, Zeng Weidong, Zhou Dadi, et al. Evolution of coordination between α and β phases for two-phase titanium alloy during hot working[J]. Transactions of Nonferrous Metals Society of China,2021,31( 11) : 3428-3438.
[12]李少強,陳 威,查 友,等. TC18 合金大型鍛棒沖擊韌性的橫縱 向差異研究[J]. 稀有金屬材料與工程,2021,50( 3) : 911-917.
Li Shaoqiang, Chen Wei, Zha You, et al. Difference between transverse and longitudinal impact toughness of TC18 alloy large-scale forging rods[J]. Rare Metal Materials and Engineering,2021,50( 3) : 911-917.
[13]Chi G,Yi D,Jiang B,et al. Crack propagation during Charpy impact toughness testing of Ti-AlV-Mo-Zr alloy tubes containing equiaxed and lamellar microstructures[J]. Journal of Alloys and Compounds,2020,852: 156581.
[14]Wang X,Zhu Z,Lu T,et al. The Influence of forging processing on fatigue crack propagation rate of damage-tolerant titanium alloy[J]. Rare Metals Letters,2008,27( 7) : 12-20.
[15]Guo P,Zhao Y,Hong Q,et al. Fatigue crack propagation and crack tip plasticity zone of TC4-DT titanium alloy[J]. Rare Metal Materials and Engineering,2014,43( 6) : 1479-1482.
[16]Nitin Kotkunde,Hansoge Nitin Krishnamurthy,Pavan Puranik,et al. Microstructure study and constitutive modeling of Ti-6Al-4V alloy at elevated temperatures[J]. Materials & Design,2014,54: 96-103.
[17]劉瑩瑩,張君彥,王夢婷,等. TC18 鈦合金棒材和鍛件的沖擊性 能及斷口分析[J]. 稀有金屬,2019,43( 8) : 891-896.
Liu Yingying, Zhang Junyan, Wang Mengting, et al. Impact properties and fracture analysis of TC18 titanium alloy bars and forgings[J]. Chinese Journal of Rare Metals,2019,43 ( 8 ) :891-896.
[18]Liu Z,Li P,Xiong L,et al. High-temperature tensile deformation behavior and microstructure evolution of Ti55 titanium alloy[J]. Materials Science and Engineering A,2016,680: 259-269.
[19]Chen Junhong, Xu Weifang, Zhang Fangju, et al. Strain rate dependent tension behavior of TC11 titanium alloys[J]. Rare Metal Materials and Engineering,2021,50( 6) : 1883-1889.
[20]Wang He,Ma Shuyuan,Wang Jiachen,et al. Microstructure and mechanical properties of TA15 /TC11 graded structural material by wire arc additive manufacturing process[J]. Transactions of Nonferrous Metals Society of China,2021,31( 8) : 2323-2335.
相關鏈接
- 2024-12-08 TB6鈦合金棒鍛件兩相區變形行為及組織演變規律
- 2024-12-06 航空航天飛行器用高強韌TB8鈦合金棒材的熱處理制度
- 2024-11-30 熱處理工藝對TB6鈦合金棒材微觀組織和力學性能的影響
- 2024-11-12 預時效對TB8鈦合金棒超塑性的影響
- 2024-11-07 爐冷溫度對TA10鈦合金棒微觀組織與拉伸性能的影響
- 2024-10-31 TC18鈦合金棒黑斑特征機理研究
- 2024-10-30 熱處理溫度對TC18鈦合金棒微觀組織與沖擊性能的影響
- 2024-10-25 熱處理制度對TB3鈦合金棒組織及性能的影響
- 2024-10-06 TC18鈦合金棒材的組織-服役性能一致性熱處理
- 2024-09-19 固溶和時效溫度對TC6鈦合金棒顯微組織與力學性能的影響

